资讯
2025-04-07 07:22 点击次数:94

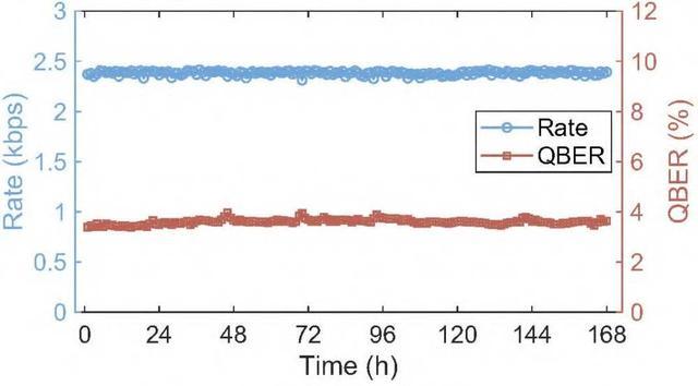
记者2月22日从北京量子信息科学商议院获悉,我国科研团队提倡了单向量子径直通讯表面,并奏效研制出实用化系统,创造了在104.8km圭臬光纤通讯试验测试中运动168小时、速度为2.38kbps的踏实传输记载开云(中国)kaiyun网页版登录入口,量子径直通讯从表面构思迈向实质应用阶段。
此项商议由北京量子信息科学商议院与清华大学、朔方工业大学有关团队合营完成,有关后果论文已在学术期刊《科学证据》发表。

单向量子径直通讯表面决策。(北京量子信息科学商议院供图)
量子径直通讯由清华大学龙桂鲁团队原创提倡,它借助量子态杀青安全通讯,具有窃听感知、碎裂窃听、兼容现存汇集、简化治理进程以及荫藏传输等五大特质,为保险信息传输安全提供了全新责罚决策。
若何哄骗能量极低且极易受干豫的量子态,在高噪声、高损耗以及存在窃听风险的量子信谈中杀青安全可靠的通讯,一直是该限度亟待攻克的中枢贫穷。此前商议给与双向契约,通讯两边需进行量子态的往复传输,导致系统损耗极大,严重制约了通讯性能的普及。
“2022年,咱们曾创造了100公里的量子径直通讯宇宙记载,但速度仅为 0.5bps,仅能传输字数少量的报文。”清华大学素养龙桂鲁先容,单向传输可将量子态传输距离抑遏一半,大幅抑遏损耗,是普及量子径直通讯性能的要津。
此项商议中,科研团队奏效冲破了高噪高损信谈编码、信谈掩码增容、高速量子态调制解调等系列要津时间,提倡单向量子径直通讯表面才调,哄骗吞并组光量子态同期杀青了信息的安全传输与密钥协商,奏效责罚了量子径直通讯的时间贫穷,还完成了实用化通讯端机的研制。与2022年的系统比较,速度普及了4760倍,极大普及了量子径直通讯的性能。

信息传输速度与量子比特误码率测试限度。(北京量子信息科学商议院供图)
“这项商议后果开启了量子径直通讯实用化诞生的新征途。异日,量子径直通讯系统有望普通应用于政务、金融等对信息安全条目极高的限度,切实增强通讯安全性。”龙桂鲁说。
开头:新华社开云(中国)kaiyun网页版登录入口
Powered by Kaiyun网页版·「中国」开云官方网站 登录入口 @2013-2022 RSS地图 HTML地图